
作者 | 郝红梅,邹修敏,李磊,曾献勇,吴利平
摘要:针对无油涡旋压缩机的动力特性问题,本文提出了数值分析与图示相结合的研究方法。通过建立无油涡旋压缩机的几何模型,分析涡旋压缩机腔室结构并提出容积计算公式,研究各腔室容积变化规律;同时建立动力学模型,对小曲拐、主轴及主副轴承进行受力与摩擦损失分析,得出部件载荷与主轴转角的变化曲线;最后推导主轴输入功率及机械效率公式,探究功率及效率变化规律。研究结果表明,无油涡旋压缩机各压缩腔容积变化趋势一致,主轴输入功率持续增大,机械效率有所降低,但降低幅度趋于平稳。本研究为后期深入研究等截面无油涡旋压缩机的动力学模型奠定了一定基础。
关键词: 无油涡旋压缩机;几何模型;动力学模型;机械效率
1
概述
涡旋压缩机因其微振低噪、结构简单、效率高而广泛应用于空调制冷、空气动力、交通运输等领域。无油涡旋压缩机的主要结构包括动静涡旋盘、偏心主轴、防自转机构小曲拐、支架体以及大小平衡块等。作为涡旋压缩机的主要运动部件,主轴系统的运行状态是影响涡旋压缩机能否平稳运行的关键因素,因此设计效率高且运行平稳的涡旋压缩机的首要条件是建立其动力学模型,进而分析主要运动部件的动力特性。Ishii等提出了涡旋压缩机偏心主轴振动的问题,建立了能够使涡旋压缩机平稳运行的动力学模型。彭斌等通过New-ton-Raphson数值方法对动涡旋盘的气体力及摩擦损失进行求解,得出摩擦损失功率、机械效率的变化趋势。Morishita等对涡旋压缩机动涡旋盘的受力进行了推导分析。潘淑丽等通过优化涡旋压缩机的转子结构参数,降低了动涡旋盘的流动功耗以及压缩总功耗,输入功率降幅为2.68%。侯才生等针对传统型线结构加工精度难以保证的问题,提出了新型型线加速螺旋线的设计方法,并建立了相对应的动力学模型,研究了其力学性能的优越性。张羽丰等为降低排气量的损耗,提出了涡旋压缩机排气口的设计方法,并通过CFD仿真分析间隙变化时非对称工作腔腔体内部流场特性。
无油涡旋压缩机动力特性直接决定了设备的运行稳定性、能耗效率与寿命,尽管现有研究已取得阶段性成果,但仍存在动力学模型耦合性与完整性欠缺、功率与效率分析系统性不足等问题。本文以无油涡旋压缩机的动力特性精准分析为目标,建立了等截面无油涡旋压缩机的几何模型,得出其工作腔的变化规律;对等截面无油涡旋压缩机的主要运动部件进行受力分析,进而获得其摩擦损失、主轴输入功率以及机械效率的变化趋势,为后期等截面无油涡旋压缩机动力学模型的深入研究奠定基础。
2
几何模型
2.1 涡旋型线的基本方程
无油涡旋压缩机的动、静盘的基础型线由基圆渐开线组成,其结构方程为:

依据法向等距曲线理论,可以推导出动、静盘的内、外侧型线结构方程。
动、静盘的内侧型线结构方程为:

动、静盘的外侧型线结构方程为:

式中 rb——基圆半径,mm
α——基圆渐开线的渐开角,rad
依据无油涡旋压缩机的结构参数及方程,可得动、静盘的型线结构图如图1所示。

图1 基线及型线结构示意图
2.2 各工作腔腔体容积
2.2.1 吸气-压缩-排气腔体的划分
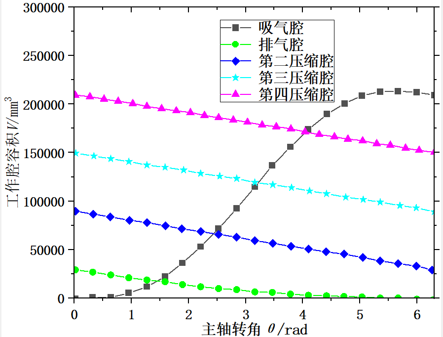
无油涡旋压缩机各工作腔腔体按照其运行进程依次划分为吸气腔、第四压缩腔、第三压缩腔、第二压缩腔、排气腔,图2给出了无油涡旋压缩机各工作腔腔体的划分示意图。

图2 无油涡旋压缩机腔体划分示意图
2.2.2 各腔容积计算公式
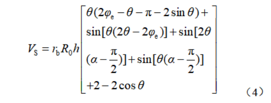
(1)吸气腔
当主轴转角为θ∈(0,2π)时,吸气腔打开,气体通过静涡旋盘背面的进气通道进入吸气腔,吸气腔的容积大小为:

式中 R0——偏心距,mm
h——小曲拐长度,mm
φe——渐开线基圆最大展开角度,rad
(2)各个压缩腔
当主轴转角为θ∈(2π,6π+θ*)时,气体处于压缩状态,第i个压缩腔的容积大小为:

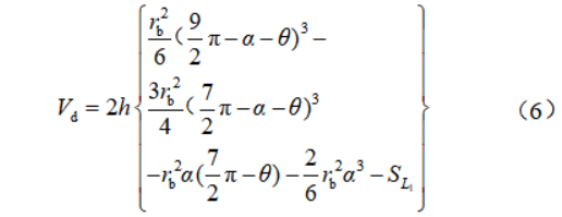
(3)排气腔
当主轴转角为θ∈(6π+θ*,8π+θ*)时,第二压缩腔与中心腔合二为一,即排气腔的容积大小为:

式中 SL1——基圆之间围成的面积,mm2
2.3 容积变化规律
如图3所示,吸气腔的腔体容积随转角增大而增大,直至达到最大值。由于吸气腔室并未完全关闭,一小部分气体发生泄漏,导致容积有微幅减小趋势。各个压缩腔腔体内的气体被持续压缩,因此各腔腔体的容积均下降且变化趋势基本一致。当主轴转动的角度达到其排气角时,排气腔的容积随排气口的开启持续下降,直至气体全部排完,此时容积降为零。

图3 各腔容积变化示意图
3
动力学模型
3.1 小曲拐的受力分析
为使无油涡旋压缩机的转子机构(即动、静涡旋盘)能够正常啮合,必须采用多个防自转机构小曲拐来平衡切向力产生的力矩,保证动涡旋盘能够正常运转。图4为小曲拐的平面装配简图及受力分析图。通过建立与其运动方向一致的三维坐标系,分析小曲拐的受力情况。

图4 小曲拐的平面装配受力分析图
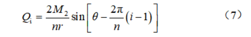
对于任意一个小曲拐,其主要的作用力及力矩包括动涡旋盘施加在小曲拐上的载荷Qi、小曲拐受到的倾覆力矩M2、支架体作用于小曲拐的载荷Q、动涡旋盘与小曲拐之间的摩擦力f1、支架体与小曲拐之间的摩擦力f2。
建立动态坐标系可得到动涡旋盘施加在小曲拐的载荷表达式为:

式中 n——偏心主轴的转速,r/min
i——小曲拐的数目基数,i=1、2、3
θ——偏心主轴转角,rad
依据图4所示,列出小曲拐Z轴方向上的平衡方程式为ΣFz=0。由此可得:

式中 Fc——动盘公转产生的离心力,N
Fm——小曲拐自身重力(Fm=mg),N
小曲拐X轴方向上的力矩平衡方程式为ΣMx=0。由此可得:

小曲拐Y轴方向上的力矩平衡方程式为ΣMy=0。由此可得:

3.2 主轴的受力分析
作为无油涡旋压缩机的动力传输零件,偏心主轴的动力特性是影响涡旋压缩机运行进程的关键因素。如图5所示,主轴主要的作用力及力矩包括动涡旋盘施加在曲柄销上的载荷Fsr、Fst及产生的相对应的力矩MT;主轴承施加在主轴上的载荷Fr1、Ft1及产生的相对应的力矩Mf1;副轴承施加在主轴上的载荷Fr2、Ft2及产生的相对应的力矩Mf2;大小平衡块产生的离心力分别为Fb1、Fb2;曲柄销产生的离心力为Fcp;电机的驱动力矩M。

图5 偏心主轴受力分析图
建立与主轴运动方向一致的坐标系,列出X、Y、Z轴的平衡方程式。
主轴在Y轴方向上的平衡方程式为ΣFy=0。由此可得:

主轴在Y轴方向上的力矩平衡方程式为ΣMy=0。由此可得:

主轴在Z轴方向上的平衡方程式为ΣFz=0。由此可得:

主轴在Z轴方向上的力矩平衡方程式为ΣMz=0。由此可得:

主轴在X轴方向上的力矩平衡方程式为ΣMx=0。由此可得:

式中 Mf——风轮力矩,N·m
Sf——风轮扇叶总面积,mm2
Rf——风轮力矩的力臂,mm
ρ——气体密度,kg/m3

c——阻力系数,取0.95
4
摩擦损失功率及机械效率
电动机总输入功率主要分为两部分,其中的一小部分通过自身发热以热量的形式损耗,而一大部分通过运动部件主轴传送给以下运动零件:防自转机构小曲拐与其相配合的零件动涡旋盘以及支架体之间因相互摩擦而产生的摩擦损耗;曲柄销与动涡旋盘之间因相对运动而产生的摩擦损耗;主轴的主要承力部件主、副轴承与主轴之间因高速旋转而产生的摩擦损耗,剩余部分则用于无油涡旋压缩机的整个循环进程。
4.1 摩擦损耗功率
通过带入已求解出的小曲拐与主轴的载荷以及力矩,得出摩擦损耗功率与机械效率。各运动零件的摩擦损耗功率已在相关资料中给出,本文将不再赘述,仅研究主、副轴承以及小曲拐产生的摩擦损耗。
(1)主轴承

式中 Lz——主轴承摩擦转矩,N·m
n——主轴转速,r/min
T——主轴旋转一周的时间,s
(2)小曲拐

式中 Lq——小曲拐摩擦转矩,N·m
(3)副轴承

式中 Lf——副轴承摩擦转矩,N·m
综上所述,总体机械摩擦损耗位:

式中 Ps——十字环的摩擦损耗,J
Pb——曲柄销的摩擦损耗,J
4.2 机械效率
主轴功率为:

式中 Lzh——副轴承摩擦转矩,N·m
机械效率为:

4.3 结果分析
图6为动涡旋盘施加在小曲拐上的载荷随主轴转角的变化趋势。由图可知,在涡旋压缩机运行进程中,三个小曲拐的作用力随其公转运动呈现周期性变化,出现了两个峰值与两个零值。

图6 动涡旋盘对小曲拐的作用力
图7和图8为主、副轴承上的载荷随主轴转角的变化趋势。由图可知,主、副轴承上的作用力在主轴旋转一周的过程中先变小后增大,直至增加到最大值后再减小,转动起始与结束的受力相同,说明主、副轴承上的载荷在无油涡旋压缩机运行进程中呈现周期性的变化趋势。

图7 主轴承受力变化图

图8 副轴承受力变化图
图9为主轴功率及机械效率随主轴转速的变化趋势。由图可知,主轴输入功率随主轴转速的增大持续增大,考虑到摩擦损耗功率,机械效率随主轴转速的增大有一定量的减小,但减小的幅度趋于平稳。

图9 主轴功率与机械效率变化图
5
结语
本文依据型线啮合理论,建立了无油涡旋压缩机的几何模型,并推导出各腔体的容积计算公式,得出以下结论:
(1)通过数值分析得出无油涡旋压缩机的各工作腔腔体容积变化趋势:吸气腔的腔体容积先增大后减小,各个压缩腔容积下降且变化趋势基本一致,排气腔容积持续减小直至变为零。
(2)通过建立动力学模型,对主要运动部件进行受力分析,得出三个小曲拐的作用力随其公转运动呈现周期性变化,出现两个峰值与两个零值;主、副轴承上的载荷在无油涡旋压缩机运行进程中同样呈现周期性变化。
(3)依据推导出的载荷计算公式得出机械效率与输入功率的计算方程,通过数值分析可知,主轴输入功率随主轴转速的增大持续增大。考虑到摩擦损耗功率,机械效率随主轴转速的增大有一定量的减小,但减小的幅度趋于平稳。

*本文节选自《阀门 · 学术版》2025年第10期,文章内容不代表《阀门》立场,如有不同观点,可以留言讨论,友好交流,共同进步。